传播理论构架解析:经典范式与心理学派,如何预测传播效果?
传播理论构架解析:经典范式与心理学派,如何预测传播效果?
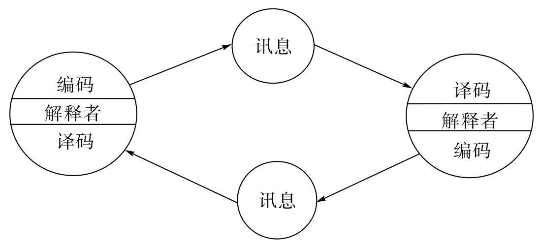
大众传播学通论(第二版)第三节 经典传播理论第三节经典传播理论理论是一组经过概括和系统化的相互关联的命题和结论,以及提出可供验证的新观点。传播理论构架如楼宇建筑的立体框架结构一样
针对传播学的各类研究视角而言,它们给我们理解信息传递的本质予以了清晰的路径,进而避免了陷入复杂细节的困扰。
传播学的理论基础
构成传播学核心基础的是信息论、控制论以及系统论,这些理论于上世纪四十年代被美国学者威尔伯·施拉姆整合成系统,为分析媒体符号系统提供了基本框架,它们助力研究者从整体把握传播过程规律,而无需局限于具体细节。
传播学研究得以构建统一分析方法,源于这些理论来源。信息论聚焦信号传输效率,控制论探究反馈机制,系统论着重强调整体性。此三者相互结合后,便形成了传播学的基本研究范式。
传播生态学研究

大卫·阿什德这位学者提出了传播生态学概念,区分出了两种媒介环境。其中一种是媒介组织实际运作呈现的现实环境,这里面涵盖着政治经济条件等要素。另外一种是媒介传播活动创造出来的符号环境,它对公众对于现实的认知产生着影响。
这样的区分对理解媒介跟社会的关系是有帮助的,媒介不但反映现实,还借助符号互动构建新的意义环境,这种双重环境视角给分析媒介影响力供给了更全面的框架。

技术传播范式

申农以及韦弗于1949年所提出的那种数学传播模型,把传播过程给简化成了线性模式,该模型着重关注信息编码,还有传输以及解码的技术环节,为后续的传播技术研究奠定下了基础,这样一种范式格外适用于分析通信系统的效率问题。

虽说此模型后续遭受批评称太过简化,然而它确实推动了传播技术的发展,在从电话网络直到互联网数据传输的过程里,皆能瞧见这个基础模型的影响。
社会系统视角
德弗勒把大众传播放置于更为广阔的社会系统里边加以考察,着重突出传播跟政治经济结构方面的关联、这种观察角度揭示出媒体怎样跟社会其他部分彼此产生作用,进而形成繁杂的联系网络。
然而,此范式主要是依据美国的社会经验构建的,其“自由市场”的假设于其他社会环境当中或许并不适用,这就促使我们有必要将不同社会制度情形之下传播系统的差异纳入考量范围 。

批判理论观点
批判理论把大众媒介当作文化产业的一部分来看,它关注大众媒介怎样去再生产社会权力结构。有着这类认知的学者觉得,媒介所呈现的内容经常起到强化主流意识形态的作用,还会把弱势群体的声音置于边缘地位。
基于此类看法,媒介内容从本质而言是于市场规律范畴内运行的商品,这致使媒介趋向于选用安全保守的运作方式,进而让某些文化产物占据首要地位。
文化研究路径
文化研究学派聚焦于媒介信息是怎样被各异群体进行解读哟,他们采用符号学手段,剖析同一内容于不同文化环境下的接受差别呢,这种方式阐释了为何某些信息于不同地域会引发不一样效果呀 。
该理论尤为看重受众的主动解读能力,研究示出,受众对于同样的媒介内容,能够产生主导性理解方式,能够产生协商性理解方式,能够产生对抗性理解方式等多种此类理解方式。
当您于接触媒体所传达的信息之际,有没有察觉到来自不同文化背景范畴的人针对同一内容的理解之时有着的差异呢?欢迎将您的观察予以分享,要是认为本文具备一定帮助作用的话,请为此点赞给予支持哦。