第三节经典传播理论:理论、范式与方法的紧密关联?
第三节经典传播理论:理论、范式与方法的紧密关联?
大众传播学通论(第二版)第三节 经典传播理论第三节经典传播理论理论是一组经过概括和系统化的相互关联的命题和结论,以及提出可供验证的新观点。传播理论构架如楼宇建筑的立体框架结构一样
传播学宛如一幅地图,助力我们迅速明晰信息流动的实质,免得迷失于繁杂的细节当中,。
传播学的理论基础
传播学的三大支柱为信息论、控制论以及系统论。这些理论于20世纪中期被像威尔伯·施拉姆这类学者进行整合,从而给分析媒体符号系统提供了框架。信息论聚焦于信号的传输效率,控制论着重强调反馈机制,系统论将传播当作整体的一部分看待,助力研究者摆脱局部细节,去把握宏观规律。
这些理论不但把传播过程予以简化,还对实际应用起到了推动的作用。举例来说,信息论于数字通信里的编码技术这方面,使得数据传输的可靠性得到了提升。控制论在社交媒体算法当中的应用,致使平台能够依据用户行为对内容推送作出调整,进而增强了互动性。
传播生态的视角

在《传播生态学》里,大卫·阿什德明确区分出两类媒介环境,一类是物理现实,另一类是符号互动空间呢。其中,物理环境涵盖了技术设施以及社会制度,然而符号环境却是由媒介内容所塑造的,它会对公众对于世界的认知产生影响哦。像这样的划分,揭示出媒介不单单只是工具,更是社会意义的创造者呀。
于实际情形里,媒介生态之变化颇为显著,举例而言,互联网的广泛普及使得信息分布发生了改变,传统媒体的生存环境趋于恶化,然而新媒体借助符号互动构建起了虚拟社区,这般生态视角向我们提示,传播研究需要兼顾技术以及文化因素。

技术范式的演进

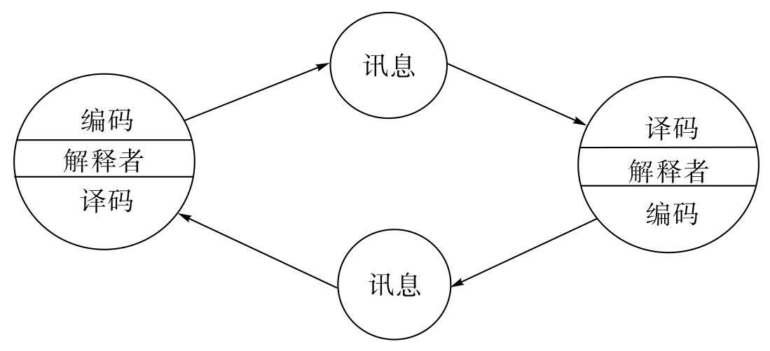
申农与韦弗所构建的线性传播模型,把信息传递过程简化成发送信息的过程,接收信息的过程,以及存在噪声干扰的过程。该模型为后续相关研究奠定了基础,对通信技术创新起到了激发作用,像5G网络低延迟设计,便从中借鉴了高效理念。

然而,线性模型太过简单化哟,把社会背景给忽略掉啦。现代传播学者在这个基础之上呢,加入了反馈循环,进而发展出了更复杂的模型呀,就像网络传播里的多向互动那样呢。这些演进展现出了技术范式从机械朝着有机的转变哟,更加契合实际应用啦。
社会系统下的传播
德弗勒范式把大众传播放置于政治、经济以及文化大背景之中,着重表明媒体乃是社会系统的子系统之一。举例来说,在美国,媒体跟民主制度联系十分紧密,借助舆论监督来影响政策的制订,然而这种模式于其他社会或许并不适用。
该范式具备局限性,此局限性体现于它是基于西方自由市场的假设之上,并且忽略了权力方面存在的不平等状况。 在并非西方国家的范畴内,政府有着或许占主导地位的媒体形态,其传播功能更加侧重于社会稳定这一方面 。这样的差异清晰地表明了,传播理论需要结合具体的社会结构来展开分析 。

批判理论的视角
媒介被批判理论家看作是文化产业的一部分,它打造符号用以加固主流意识形态而且使少数群体边缘化,举例来说,在新闻报道当中,统治阶级的价值观常常借由编辑指南渗透进去,从而塑造公众对于事件的认知,进而压制不同意见的声音 。
源于前媒介时代的马克思的学说,对资本控制的批判有指导 meaning 的意义是不错哦。现代媒体商业化致使内容同质化啦,高风险题材被回避咯,这反映出市场力量对传播的有力度不同程度下的制约呢,并且给多样性表达带来限制啦。
文化研究的应用
文化研究学派借助符号学,用以剖析媒介信息是怎样被各异群体解读的。举例来说,同一则广告,于东方和西方所能引发的反应,极有可能大相径庭,这是由于文化背景对符号的意义建构起了作用,进而致使传播效果出现差异。
这一理论着重突出受众的主动性,人们有可能针对主导解释予以抵抗或者重新加以诠释,在全球化的背景情形之下,文化研究助力阐释跨文化传播的挑战,好比电影于不同地区的接受程度,显现出本地化策略方面的重要性 。
请你分享一下,传播学范式于实际生活里是怎样对你的信息接收产生影响的呢?欢迎说出你的看法,对本文点赞给予支持呀!